
【引言】 在过去十年中,柔性可穿戴的微电子设备及其系统在移动通讯、生物医学、消费电子、体育、清洁能源和环境等领域得到了极大的重视。因此,柔性电子产品的商业化给已...

【引言】 太阳能驱动二氧化碳还原为可再生燃料在近年来显示了巨大潜力,然而光生电荷在催化剂体相的快速复合严重制约了光催化活性的提高。通过建立电场抑制光生电子和空穴...

【引言】 半导体光催化材料有望解决全球能源和环境问题,压电光催化是实现优异催化性能的有效方法之一,但是压电光催化剂通常需要超声等高能耗条件,从而限制了实际应用和...

【背景介绍】 伴随着社会的发展和人类的进步,日益严峻的能源短缺与环境污染问题已经成为亟待解决的世界性难题。电催化和多相催化反应技术已经成为能源转化与环境净化的关...

【引言】 太阳能驱动水分解,可以将太阳能转化为清洁可再生的氢燃料,因此被认为是解决环境污染和能源问题最有效的途径之一。石墨相氮化碳(g-C3N4)作为一种独特的...

[引言] 梯度材料在自然界中广泛存在,如竹子、乌龟壳和人的骨骼,已经证实这样特殊的外部坚硬而内部相对较软的梯度结构可以使得生物体具有良好的应对外界自然环境变化的...

【引言】 利用太阳能将CO2转化为可再生燃料是一种理想的绿色能源获得途径,对于缓解温室效应和化石能源短缺具有重要的意义。因此,开发高效的半导体光催化剂用于CO2...

【引言】 基于非富勒烯受体的有机太阳能电池近年来发展迅速。与富勒烯及其衍生物相比,非富勒烯受体具有更易调节的物理化学性质,更有效的光谱利用,以及更小的能量损耗等...

【引言】 由于不同材料的物理和化学性质相似往往使之具有普适性应用,但如何探索和区分最适合于特定功能的材料无疑是一项非常艰巨的任务。为了更好地挖掘材料的合适性能,...

【研究背景】 Co3O4作为超级电容器正极材料,由于本身具有较高理论容量(3560 F g-1),和简单的制备方法,引起了研究人员的广泛关注。然而,在实际应用中...

【引言】 能源是人类赖以生存的物质基础,是社会和经济可持续发展的重要物质保障。光催化技术通过直接利用太阳能驱动一系列重要的化学反应,能将低能量密度的太阳能转化为...

【引言】 二维材料是当今材料科学、凝聚态物理乃至信息科学及其交叉学科领域的研究热门之一。第一个被发现的二维材料石墨烯,具有高的迁移率和好的环境稳定性,被认为是作...

【引言】 近年来,基于原子层厚度的范德华异质结由于其丰富的电子、能带结构而在光电子器件领域受到广泛关注。目前常见的范德华异质结光探测器都是基于光电导/光栅效应、...

陶瓷是无机非金属晶粒无取向烧结而成的块材,因为存在缺陷、气孔以及材料本征的双折射,通常是不透明的。光学陶瓷是消除了光散射的、透明的特种陶瓷,可兼具单晶、玻璃等其...

【引言】 由于人类发展带来的日益严峻的环境问题和能源危机,发展可再生能源来代替传统化石资源迫在眉睫。氢分子由于其具有高的能量密度以及燃烧产物对环境无污染,可以作...

日前,材料领域国际知名期刊Progress in Materials Science发表了北京科技大学张勇教授课题组题为Serration and Noise ...

【引言】 保护环境是实现人类社会可持续发展的基本前提,消除气态氧化物分子污染物,如COx (CO2,CO),SOx (SO2,SO3),NOx (NO,NO2)...

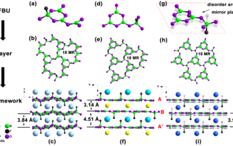
【引言】 非线性光学(NLO)晶体是一种重要的光电信息功能材料,是固体激光技术和光通讯与信号处理技术发展的关键材料之一。自激光器问世以来,NLO晶体通过和频、差...

中国科学院金属研究所沈阳材料科学国家研究中心陈星秋研究团队利用节线半金属产生的鼓膜状表面态作为析氢反应的催化平台,提出了拓扑量子催化的新概念,并建议TiSi家族...

【引言】 能源转换、存储和利用需要开发廉价、高效的新能源材料。(光)电化学分解水制氢(2 H2O → 2 H2 + O2)、二氧化碳转换利用(x CO2 + y...