
【引言】 碳/碳(C/C)复合材料是可以在2200°C以上长时间高强度使用的独特材料,其性能会随着温度的升高而得到改善。C/C复合材料具有一系列优异的性能,如低...

【引言】 选择性激光熔化(SLM)技术是近年来极具应用前景的金属增材制造技术之一。该项技术通过计算机辅助设计(CAD),利用高能激光源在受控条件下逐层熔化金属粉...

【引言】 惯性摩擦焊(IFW)是一种广泛应用于相似或异种材料固态连接的方法。三个独立的参数,即飞轮转动惯量I,初始飞轮动能Eo以及轴向压力P控制着焊接过程。正确...

1、Advanced Functional Materials综述: ZnS用作光电器件和催化剂的设计原理及工艺 图1 ZnS设计原理示意图 ZnS作为一种宽带...

【引言】 在半导体微腔中,当激子与微腔光子之间的相互作用强度大于激子本身的和微腔光子的耗散速率时,即所谓的“强耦合状态”,形成激子极化激元。激子极化激元为研究宏...

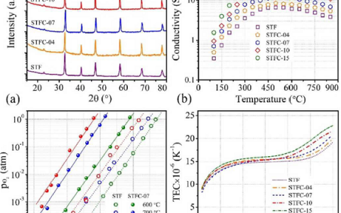
【引言】 固体氧化物电池(SOC)是一类既可以将燃料高效清洁的转化为电能(固体氧化物燃料电池模式,SOFC),又可将电能通过高温电解的方式转化为化学能而存储(固...

【引言】 超低密度陶瓷气凝胶由于其低密度和热导率,化学和热力学惰性,高孔隙率和大表面积等优异特性而极具吸引力,并且已经广泛用于催化,电,环境和能量等领域。然而与...

1、Acta Mater.: CrCoNi中等熵合金的动态剪切变形研究 高熵合金和中等熵合金是一种具有简单晶体结构的固溶体,并且多元素的随机分布可以减少用于形成...

【引言】 开发具有优良强度和塑性匹配的先进高强度钢(AHSSs),对于汽车行业轻量化和提高车身安全性具有重要意义。在过去的几十年中,为了同时提高强度和塑性,科研...

1、Chemical Reviews综述: 金属催化剂的非均相催化:从单原子到纳米团簇和纳米粒子 图1 单原子,团簇及纳米粒子的几何和电子结构 金属组元的尺寸大...

【引言】 亚稳β钛合金在航空航天和生物医药行业的结构应用中具有特殊意义。在β相区固溶处理和随后的水淬之后,这些合金的体心立方(bcc)β基体显示出低的热力学和弹...

【引言】 高能重离子在各种氧化物陶瓷中沿其轨迹会产生高度缺陷或无定形结构,这被称为潜在的离子轨道。离子轨道的直径大都在纳米级,轨道长度可达几十微米,这种极大的高...

【引言】 黑鳞(BP), 由于其前所未有的电子能带结构,单层的直接带隙可从0.3eV到2.0eV,成为了二维材料中一颗冉冉升起的新星。BP与零间隙石墨烯和半导体...

【引言】 基于YBa2Cu3O7-δ化合物的块状单晶超导体对于实际应用有着非常重要的意义,因此科学家们对它进行了深入的研究。目前来看,所有高温超导体系列都容易受...

【引言】 基于磁热效应(MCE)的磁制冷是一种比传统蒸汽压缩更具有高潜力的新兴技术。在磁热材料中,NaZn13型La(Fe,Si)13基化合物由于其可调的居里温...

【引言】 全球快速工业化导致陆地元素资源高度紧张,诸如铁,硅,钛和铝等元素的氧化物因地表含量丰富而极具吸引力,同时它们在能量储存,催化作用和采光等重要领域有着重...

【引言】 石墨烯纳米带(GNR) 由于其独特的光学,电子和磁学特性,引起了科研人员的广泛关注。在其众多的合成方法中,自下而上的液相合成法在在液相分散的GNR大规...

【引言】 亚稳态β型钛基合金目前在医药和航空航天领域有着广泛应用。β型钛基合金从体心立方β相到底心正交α相和六边形ω相的相变,具有超弹性和形状记忆效应等特殊性质...

【引言】 无铅铁电材料,包括(K0.5Na0.5) NbO3基(KNN)材料,(Bi1/2Na1/2)TiO3基(BNT)材料和(Ba,Ca)(Zr,Ti)O3...

纤维增韧高温陶瓷基复合材料(CMCs)目前是一类非常有竞争力的极端环境热结构候选材料。其主要包括非氧化物SiC纤维和C纤维增强SiC基复合材料,如:SiCf/S...