
由于强的电子定域态性质,通常有机半导体不能像无机半导体一样,可以通过简单的合金化方法实现对能级和带隙的连续调控。然而近期,Schwarze等发现,利用有机半导体...

自组装作为一种新的合成材料的方法,在近些年来得到了很大的发展。无论小到原子、分子,还是大到复杂的结构单元,自组装构筑的有序结构总能给我们带来很大的惊喜。在自组装...

成果简介: 现今,锂离子电池在便携式电源市场已经取得了巨大的商业成功,并且正在寻求在电动汽车行业大规模的储能应用。为了能够满足电动汽车的高能量密度要求,一个可行...

光的精确控制促进从激光器到光通信这一令人难以置信的光子器件阵列的形成。由于光的调制可以通过铌酸锂(LN)很好的完成,所以光电(EO)材料对光电子产业相当重要。例...

在太阳能电池方面的运用方面,化学式为CH3NH3MX3−nYn (M = Pb, Sn; X,Y = Cl, Br, I)的有机无机杂化材料获得极大的成功,同时...

【摘要】 近日,清华大学物理系在铁电性研究中获得新进展。由陈曦教授、季帅华助理教授为通讯作者的文章“Discovery of robust in-planefe...

自旋模型是用于简化复杂强相关真实材料多体哈密顿量的典范。但是目前的问题在于尽管这一模型已经对哈密顿量进行了简化,但是当粒子数超过几十时仍无法在经典计算机上对其进...

溶液法制备的无机太阳能电池是未来取代第一代硅电池的很有潜力的替代品。低温溶液法以及无毒地球富有元素的使用可以有效的降低生产成本和规范化生产。然而,目前还没有材料...

成果简介: 近日由中科院苏州纳米所张跃刚研究员以及崔屹教授合作领导的团队在Science Advances上发表了基于纳米锥基底上沉积具有多孔结构的Mo掺杂的B...

钢无疑是当今世界应用最广的工程结构材料,没有之一。资料显示,世界每年的钢产量已经超过16亿吨。它被广泛应用的原因除了具有铁磁性、刚度高、抗腐蚀性好等因素之外,最...


成果简介: 近日马里兰大学的Eric D. Wachsman以及胡良斌教授合作团队在PNAS上发表了基于3D纳米纤维网络结构和固体聚合物电解质开发的柔性固态离子...


近年有关钠离子电池的报道持续刷新着我们对这一熟悉而又陌生领域的认知,新的电极材料或反应机理正在被不断的挖掘。在三种扩散控制的电池反应机理(脱嵌、氧化还原、合金化...

【背景简介】 随着燃料电池、生物质能的利用及精细化学合成这些潜在应用的发展,醇的电化学氧化将成为能源和化学转化工作的一大重点。镍催化剂可用于电化学生产和氢的氧化...

【引言】 Science于2016年7月1日在线发表了一篇Report,题为“Catalytic, asymmetric difluorination of a...

成果简介: 近日锂电大牛周豪慎【日本国立产业技术综合研究所(AIST)首席研究员】团队在Nature Energy上发表了MOF@GO复合隔膜在锂硫电池应用的文...

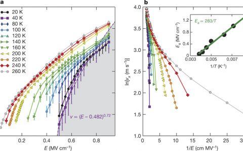
铁电材料是一种存在自发极化的材料,且自发极化有两个或多个可能的取向,在电场作用下,其取向可以改变。它具有介电、压电、热释电、铁电以及电光效应、声光效应、光折变效...


引语: 众所周知,纳米粒子经常表现出与常见大尺度物质不同的性质,应用领域也大相径庭。比如金纳米粒子可以催化化学反应,而普通金不能催化。半导体的纳米粒子仅通过尺寸...
