
【引言】 失配错位模式在界面介导的变形机制上发挥关键作用,例如在各种平面界面中的错位成核和剪切滑移,然而,特定的机械载荷可以在不同的塑料流出界面之前动态地改变其...

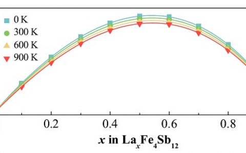
【引言】 笼式化合物具有许多优异的物理特性以及用途,比如热电、超导和拓扑绝缘体等。其中,笼式方钴矿作为一种“声子玻璃-电子晶体”材料,具有极其优异的热电性能,在...

【引言】 完美的晶体在自然界是不存在的。现实中的材料往往存在缺陷,和化学有序/无序态,例如晶界,位错,界面,表面重构以及点缺陷。这些缺陷严重影响着材料的性质和功...

最近,对于我国各高校的实力分布,大家总会被各种榜单所迷惑。而其中,对于一所从一开始便致力于以尖端科技发展为核心办学理念的高校——中国科学技术大学的实力情况,相信...

今天,小编将用数据说话,为大家介绍一位重量级的材料界明星——石墨烯,带大家领略一下,明星是怎么炼成的。很励志,有木有!不过,在正式介绍之前,首先让我来对我们的主...

此文为抛砖引玉,材料人网将陆续在旗下新媒体网站材料牛推出有关碳材料的专题文章,从基础、分类应用、经典期刊、大牛专题、流派分布、表征手段等方面为大家一一介绍。 【...

氢是洁净的能源载体,但氢的安全、高效存储是氢能大规模应用中的技术瓶颈,也是近二十余年来材料研究领域最具挑战的课题之一。储氢材料需具有储氢密度高、吸放氢速度快、操...


【引言】 一个多世纪以来,材料科学家已经能够计算化合物相应的结构、电子态以及力学性质所呈现出来的实验数据。而这些数据,俨然已经成为发展、选择和乃至设计材料的基石...

【引言】 近年来,有机—无机混合型钙钛矿太阳能电池由于其高的转换效率以及低的组装成本而越发地引起人们的关注。混合型钙钛矿材料具有独特的晶体结构以及电子构型,这一...


【引言】 光活性材料对于太阳能转化来说,至关重要。几十年以来,具有光活性的材料主要是无机非金属材料,例如,TiO2、ZnO和CdS等。而近年来,发现很多有机材料...

大家对能够进行样品的微区结构与形貌分析的扫描电子显微镜(SEM)和透射电子显微镜(TEM)都不陌生,而与之相关的利用特征X射线具有特征能量这一原理设计的用于成分...


引语: 在新药发现领域,据统计表明,临床的成功与候选药物分子的复杂性——即分子中固有的sp2-sp3键数量和sp3-sp3键数量的比例有关。而这项发现,毫不夸张...

大多数纳米材料的化学合成方法涉及到原子、离子或分子的自组装凝聚反应,涉及到从分散的原子或分子逐渐聚集到生长长大过程。以液相沉淀反应为例,颗粒的形成一般可以分为两...


一、相关概念: 粒度与粒径:颗粒的大小称为粒度,一般颗粒的大小又以直径表示,故也称为粒径。 粒度分布:用一定方法反映出一系列不同粒径区间颗粒分别占试样总量的百分...

TG的基本原理? 热重分析(thermogravimetric analysis, TG或者TGA)是指在程序控温条件下测量待测样品的质量与温度变化关系的一种热...

今天材料牛邀您一起来看看国际著名期刊JACS 2016年6月前沿精选科研成果:中国科学院化学研究所——利用Diels-Alder反应成功实现对石墨烯的定点图案化...