在含能材料领域,实现高能量密度、低感度与高耐热性的协同优化,是困扰国际学术界与工程界多年来的重大科学难题,被视为制约新一代高性能炸药与推进剂发展的“不可能三角”。传统材料体系往往难以兼顾三者,致使性能提升陷入瓶颈。而今,这一僵局被中国科研团队凭借原创的“高氮骨架”设计理念成功打破。由西安近代化学研究所牵头,联合南京理工大学、西北工业大学及甘肃银光集团组成的跨机构研发团队,历时三年系统攻关,首次在单一分子骨架上实现了能量密度、安全性与热稳定性的协同突破,研制出具有完全自主知识产权的新型TYX系列含能材料。该系列材料不仅具备优异能量释放特性,更在感度与耐热性方面表现卓越,为推进剂与炸药系统的性能跃升提供了全新材料平台。相关研究成果已连续发表于国际权威期刊《Journal of Materials Chemistry A》和《Defence Technology》,标志着我国在高性能含能材料领域取得关键突破,为全球含能材料发展注入新动力。
“三角困境”的根源:能量、安全与热稳定为何难以兼得?
含能材料广泛用于深井采矿、宇航工程等军民领域。一般来说,能量越高的材料,对外界刺激(如撞击、摩擦)就越敏感,安全风险大;而若要提高其稳定性与耐热性,则往往需牺牲部分能量。这种“能量-感度-热稳定”之间难以调和的矛盾,成为国际学界公认的重大挑战,也被称为含能材料领域的“圣杯难题”。

图1. 含能材料性能三角困境
中国方案:高氮骨架“智能设计”打破性能壁垒
研究团队跳出传统思维,不再依赖经典的离子型结构,转而设计出一类全新的“平面双内盐”骨架。该骨架以高氮含量为核心特点,巧妙利用氮原子自身的高生成焓和多气体产物特性,为能量释放奠定基础;同时借助富氮体系所带来的丰富氢键和π–π堆积效应,极大增强材料的本征稳定性。
更令人称道的是,该团队同步开发出仅需2–3步的高效合成工艺,成功实现TYX系列含能材料的规模化制备,且全程规避高敏感中间体,为未来工程转化打下坚实基础。

图2. TYX-1、TYX-2和TYX-3的合成路线
三类TYX材料,各具绝技
TYX-1:超耐热钝感材料
热分解温度高达473℃,机械感度与目前最安全的TATB炸药相当,理论爆速不低于经典高能炸药RDX,特别适用于超高温环境下的爆破和推进任务。
TYX-2:高能且安全
理论爆速可达9.9 km/s,与目前能量最高的CL-20相当,但撞击和摩擦感度显著低于CL-20,解决了“高能量必高敏感”的传统困境。
TYX-3:均衡型选手
在保持良好热稳定性(365℃)和低感度的前提下,理论爆速与HMX相当,是目前综合性能最优的耐热钝感含能材料之一。

图3. TYX系列含能材料结构及性能
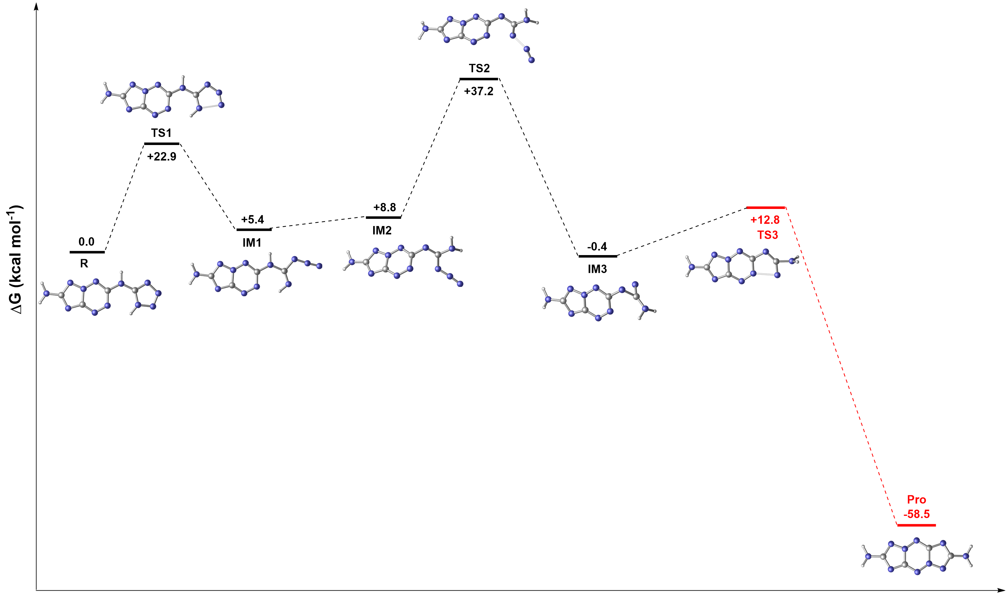
理论计算揭示反应机制,微观结构支撑宏观性能
通过单晶解析与理论计算,团队进一步揭示其性能突破的微观机制:平面共轭结构促进电荷离域,高频氢键网络增强内聚力,多重分子间作用形成能量“缓冲带”,共同造就其“高能且温和”的独特性质。

图4. TYX-1环化反应机理
应用前景:推进剂与发射药迎性能升级
在多项固体推进剂与发射药配方的仿真评估中,TYX系列含能材料展现出显著的系统增效潜力:
在固体推进剂与发射药配方的理论计算与仿真评估中,TYX系列含能材料展现出显著提升武器系统综合效能的潜力。例如,在PNMMO基固体推进剂(表1)中引入TYX系列含能材料,可为配方体系带来多方面的性能提升:其比冲相较于AP基推进剂最高提升35.6 s。
表1 低特征信号PNMMO推进剂的能量特性参数

注:a燃烧温度,b特征速度,c比冲(NASA-CEA软件计算)
在典型三基发射药体系中(表2)引入TYX-2,火药力较RDX/HMX体系提升约30 J·g-1,燃烧产物中氮气含量达31.1%,爆温降低超过150 K,显著抑制烧蚀、提升热安全性并延长使用寿命
表2 典型三基发射药配方及其能量参数计算值

注:a火药力,b爆温,c燃烧产物中的氮气占比
结语:中国方案,开启含能材料新纪元
TYX系列含能材料的成功研制,标志着我国在高性能含能材料领域取得重大原创突破,犹如一把精准的钥匙,解开了困扰国际含能领域近百年的“不可能三角”之锁—首次在单一分子骨架上同步实现了高能量密度、低感度和高热稳定性的协同提升。这一突破源于创新的分子设计与电子结构调控,依托“高氮核心骨架”与“一骨架,三协同”的设计理念,融合高氮含量、平面共轭结构及密集氢键网络等多重协同机制,从微观层面奠定了宏观性能的全面飞跃。
其能量密度显著优于现有高能炸药,撞击与摩擦感度大幅降低,热分解温度远超同类物质,展现出极端环境下的优异可靠性。在固体推进剂和发射药中,TYX系列含能材料表现出巨大应用潜力:可同步提升比冲与力密度,降低燃温、抑制烧蚀,为延长武器寿命提供关键技术支撑。该材料不仅为新一代高能、钝感、耐热型尖端装备系统提供关键材料基础,更为我国宇航工程、民用爆破技术及国际含能材料发展注入强劲的“中国动能”,推动我国含能材料向高性能、高安全、耐候化方向跨越发展。这一“中国方案”有望在全球含能领域掀起新浪潮,为国防安全与民用技术发展贡献重要力量,最终在攻克该领域世界级难题中树立中国标杆。
文章来源:
Journal of Materials Chemistry A, 2025, 13, 25103-25109.
Defence Technology, 2025, 52, 220-229.
Defence Technology, 2025, DOI: 10.1016/j.dt.2025.09.025.
通讯作者:谭博军、刘宁、张根、张庆华
第一作者:谭博军、窦金康、苏剑、杨雄、唐长伟
单位:西安近代化学研究所、南京理工大学、西北工业大学、甘肃银光集团





