一、研究背景
锂金属负极具有极高的理论比容量(3860 mAh g-1)与极低的氧化还原电位(-3.04 V vs. SHE),在下一代高能量密度储能体系中展现出不可替代的应用前景。然而,锂金属负极的实际应用仍面临严峻挑战,其中最为突出的问题是锂枝晶的不可控生长。枝晶的形成不仅会降低库仑效率,加速容量衰减,还可能刺穿隔膜引发内部短路,带来严重的安全隐患。研究表明,Li3N兼具高离子电导率与高机械强度,可同时实现快速锂离子传输与物理抑制枝晶穿透的双重功能。然而,从常见添加剂LiNO3到目标产物Li3N的转化过程存在较高的反应能垒,这成为构筑此类高性能SEI的主要障碍。
二、成果简介
为此,本研究提出一种界面催化策略,通过在集流体上引入氮掺杂碳负载的金属单原子催化剂(M/NC,M = Cr, Mn, Fe, Co, Ni, Zn),显著降低LiNO3分解的反应能垒,从而实现了富Li3N SEI的原位构筑,使锂金属负极的循环寿命得到显著提升。该成果以“Li3N-Enriched Solid Electrolyte Interphase Derived From Interfacial Catalysis Toward High-Performance Lithium Metal Batteries”为题发表在Advanced Materials上。
论文链接:https://doi.org/10.1002/adma.72588
三、核心创新点
1.通过引入M/NC单原子催化剂,在电解液/电极界面实现了LiNO3的原位催化分解,显著促进了Li3N的生成,进而构筑出具有清晰分层结构的SEI:其内层以高模量无机组分为主,提供优异的机械强度;外层则富含柔性有机物,赋予界面良好的韧性。
2.通过CV定量评估LiNO3在电化学界面上的分解程度,Co/NC催化剂表现出最显著的氧化还原峰,对应最高的电化学活性。进一步借助FMO理论分析表明,Co/NC与LiNO3分解的关键中间体(LiNO)之间具有最小的HOMO-LUMO gap,表明其具有最优的电子转移能力和反应驱动力。
3.锂金属沉积/剥离的可逆性显著提升。Co/NC@Cu//Li非对称电池在0.5 mA cm-2,0.5 mAh cm-2条件下稳定循环1500圈(3300 h);对称电池在1 mA cm-2,1 mAh cm-2条件下稳定循环1000圈(2500 h)。
- 数据概览

图1.M/NC催化剂形貌和结构表征

图2.电化学性能表征

图3. SEI层表征

图4.锂沉积行为研究

图5.理论计算结果

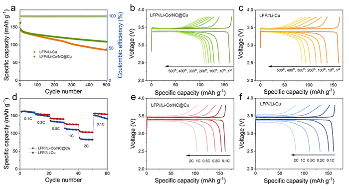
图6.全电池电化学性能评估
五、成果启示
为攻克锂金属负极中SEI不稳定及枝晶生长难题,本研究开发了一种基于单原子催化剂的界面调控技术。通过利用Co/NC催化剂定向加速LiNO3向Li3N的转化,实现了对SEI化学组成与微观结构的精准控制。基于FMO理论的分析表明,催化活性与中间体LiNO的LUMO能级密切相关:Co/NC与LiNO之间最小的HOMO-LUMO gap赋予了其最低的电子注入势垒,从而有效催化了高能垒N=O键的断裂,加速了Li3N的动力学生成过程。该工作突出了界面催化在下一代SEI设计中的关键作用,为高性能锂金属电池的实用化进程提供了有效的调控策略。





