【引语】
北京时间9月13号,JACS官网发布了一篇关于共价有机框架(COFs)多相不对称催化的文章,题为“Homochiral 2D Porous Covalent Organic Frameworks for Heterogeneous Asymmetric Catalysis”。论文通讯作者为来自上海交大的刘燕和崔勇教授。
【成果简介】
共价有机框架(COFs)由共价键连接的多齿有机结构形成,是成分、结构、功能可调的新兴多孔晶体材料。一般COFs通过硼酸、硼、亚胺和腙等连接,它们在气体储存和分离、光电、储能、给药、传感和催化等方面具有潜在的应用价值。正如MOFs,COFs可以在温和的条件下结晶出手性结构的COFs(CCOFs)。不对称催化剂和手性分离等方面对手性材料的需求日益增多,但由于很难控制CCOFs的结晶过程,使CCOFs的制备仍是一个重大的挑战。
上海交大的刘燕和崔勇教授使用对映异构体二甲醇和4,4′-二胺交联剂,成功的合成了具有手性功能嵌入到框架中的2D COFs。经过表征发现,所合成的CCOFs具有双重的互穿网格型网络。通过对带有Ti(O`Pr)4的二甲醇单元的手性二羟基组进行后改性,材料成为具有高对映选择性的二乙基锌对醛的不对称加成的非均相催化剂。
该研究将会为创造新型多孔材料拓宽材料设计与工程的范围。
【图文导读】
图1:CCOFs的合成过程

CCOF-1和 CCOF-2通过溶剂热反应法合成,对映异构体TTA或TTPA (0.25 mmol) 和 4,4′-DADPM (0.5 mmol)在1,4-二氧六环(6 mL)和水乙酸(1.5 mL)中,在10℃下反应3天,最终获得的灰色微晶颗粒的产量达70%。
图2:(a)CCOF-1和(b)CCOF-2的PXRD图

黑色线为原图;红色线为精修图;蓝色线为计算剖面;绿色线表示实验和精修PXRD的区别;(a)插入图为CCOF-1的并行的双重渗透层;(b)插入图中,左侧为(110)和(001)面的图谱,右侧为CCOF-2的AB堆积层。
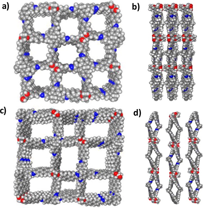
图3:CCOF-1和CCOF-2的空间填充模型

图(a)(b)为CCOF-1沿着(a,c)c轴方向的空间填充模型;图(c)(d)为CCOF-2沿着(b,d)b轴方向的空间填充模型。
图4:N2吸附-解吸等温线和孔径分布剖面

图(a)(c)分别为CCOF-1和CCOF-2在77K下的N2吸附-解吸等温线;图(b)(d)分别为CCOF-1和CCOF-2的孔径分布剖面。
【总结】
上海交大的刘燕和崔勇教授成功合成了CCOFs。通过各种表征技术发现,Ti(O`Pr)4作用于材料后,催化剂对芳香醛的不对称加成的效率提高。催化剂可以回收和重复使用而不损失任何具有的催化活性的成分。这项工作不仅证明了它是可以设计并合成具有永久的孔隙的CCOFs,也表明有望通过模块化的合成方法创造出更多种类的COF材料。
文献链接:Homochiral 2D Porous Covalent Organic Frameworks for Heterogeneous Asymmetric Catalysis (JACS, 2016, DOI: 10.1021/jacs.6b07714)
本文由材料人编辑部MOF组朱晓秀供稿,材料牛编辑整理。
参与MOF话题讨论或了解MOF组招募详情,请加入材料人MOF学术交流群(120199039)。
材料牛网专注于跟踪材料领域科技及行业进展,这里汇集了各大高校硕博生、一线科研人员以及行业从业者,如果您对于跟踪材料领域科技进展,解读高水平文章或是评述行业有兴趣,点我加入编辑部。





