引言:
铁磁性物质具有反常的霍尔效应,因此没有净磁化强度的反铁磁性物质应表现出正常霍尔效应。与铁磁性物质相比,非线性三角反铁磁性物质Mn3Ge与铁磁性金属有很大的反常霍尔效应。其来源于手性自旋结构所产生的非零贝里曲率;同时导致了一个更大的霍尔效应。

图一:Mn3Ge的晶体结构、磁结构和贝里曲率
图一给出了Mn3Ge的晶体结构、磁结构和贝里曲率。如图一A:Mn3Ge的六边形单元由两层Mn沿着c轴方向堆叠。在每一层中,Mn原子形成Kagome晶格,Ge在一个六边形的中心。通过计算Mn3Ge的磁基态,可以得出能量最低的自旋状态,如图一B。从图一中可以看出,形成Mn3Ge的两个磁层的原始单元可以关于xz平面镜像对称。图一D是在xz平面上的计算值。分布很不均匀,并可以通过四个明显的峰描述。这些峰存在的区域是导带和价带之间的带隙。
材料制备:
化学计量的纯元素进行称重并在感应炉坩埚中融化。加热到980°C,保温1h,并缓慢冷却至740°C。740°C退火15h。然后在氩气中骤冷至室温。样品沿垂直于生长方向被切成五片。每个切片的尺寸约为6毫米,直径为2毫米厚。
结果分析:
为探测Mn3Ge的AHE(反常霍尔效应),测量了不同温度(2K-400K)下霍尔效应随磁场变化的函数曲线。在条件II下,的值显小于条件I(图2C)。尽管条件II中在2K时小于条件I,但当300K时二者出现一个相似的值(300K,=50Ω/cm)。在两种条件下均随温度升高而降低。最后条件III,在所有温度下的和都很小(图2E、F)。除此之外,条件III与条件I、II的AHE测量结果恰好相反。

图二:不同温度(2K-400K)下和随磁场变化的函数曲线

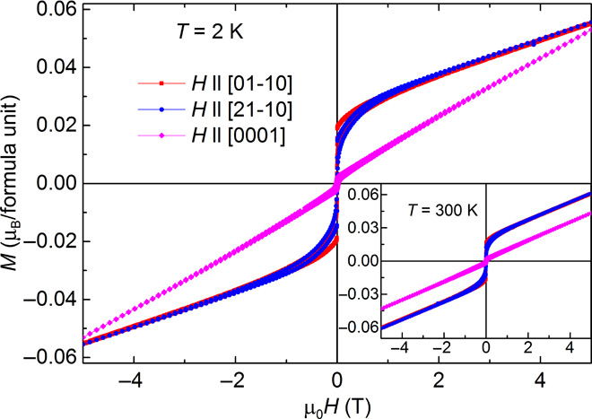
图三:2K和300K下磁场沿不同方向时的磁学性能曲线
为证明本系统中大的AHE源于非线性反磁铁自旋结构,对磁场方向平行于不同晶体方向的磁化强度进行了测量。当磁场平行于[2-1-10]时,2K时表现出微小的自发磁化0.005μB/Mn(图3)。当磁场平行于[01-10]方向时,稍有增大。矫顽场小于20 Oe。300K和2K测得的数据相似,除了当磁场平行于[0001]方向时,高的磁化强度均急剧降低。
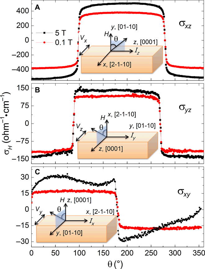
在无外加磁场的条件下观察AHE发现,在零磁场的区域,每个磁畴(h-Mn3Ge内存在反铁磁畴)内部霍尔电压的方向不同,会使AHC消失。但磁场会使旋转三角形旋转至与平面内的电场分量相反。面内场的方向变换会使三角形的自旋结构中的交错方向改变,进而导致霍尔电压信号的异常变化。

图四:AHE的角度依赖性测量曲线
为确定小残余面内铁磁性元件对AHE没有作用,我们进行了AHE对不同配置下角度依赖性的测量。从这些角度依赖性的测量,可以很容易地得出结论,小残余面内铁磁性元件,以及施加的磁场,没有对Mn3Ge中AHE的观察产生影响。
结论:
总之,在室温下,即使不加任何外加磁场,非线性反铁磁Mn3Ge依旧具有很大的AHE。Mn3Ge的大的反常霍尔效应的发现将会推进相关理论的研究。
该研究成果近期发表在Science Advances上,论文链接:
Large anomalous Hall effect driven by a nonvanishing Berry curvature in the noncolinear antiferromagnet Mn3Ge(非原网页读者请到材料牛下载)
本文由材料人编辑部学术组封蕾投稿,材料牛编辑整理。
欢迎加入学术组,一起进行材料顶刊学术动态的跟踪和报道以及SCI相关知识科普等。加入方式:(1)加入材料人文献检索群(410109144),私信管理员“成都-小小(QQ:763044722)”报名;(2)点此处报名。
欢迎各大课题组到材料人宣传科技成果并对文献进行深入解读,投稿邮箱tougao@cailiaoren.com





