【一】科学背景
自旋超固态(spin supersolid)是超固态(supersolid)在磁性体系中的类比,指的是一种同时具有长程磁有序(类似固体)和自旋超流(类似超流体)的量子态。早期研究主要集中于固体氦和冷原子体系,近年来在三角晶格莫特绝缘体如Na₂BaCo(PO₄)₂(NBCP)和K₂Co(SeO₃)₂(KCSO)中得到了实现。这些绝缘体表现出强烈的自旋涨落和巨磁热效应,具备极低温制冷的潜力。
然而,这类绝缘材料在低温下的热导率受限于声子的 𝑇3 衰减,严重制约了其制冷效率和热传输性能。因此,寻找兼具良好导电性和高热导率的金属材料,成为实现高效亚开尔文制冷的关键方向。
【二】、科学创新
今日,来自中国科学院合肥物质科学研究院强磁场实验室安徽省低能量子材料与器件重点实验室的屈哲研究员、许锡童研究员,中国科学院理论物理研究所的李伟研究员和上海交通大学马杰教授强强联合,一种在稀土化合物EuCo₂Al₉(ECA)中发现了一种金属自旋超固态。ECA是一种良导体,具有优异的电导和热导性能。高自旋Eu²⁺离子形成堆叠三角层的三维晶格,通过RKKY和偶极相互作用稳定了自旋超固态。中子衍射提供了自旋超固态的微观证据,表明该合金中存在面外和面内自旋有序的共存。本文提出的RKKY-偶极模型成功捕捉了ECA中的金属自旋超固态Y相和V相,以及1/3磁化平台。在这些相中观察到的非经典磁化行为表明存在显著的量子涨落,可能由传导电子增强。电阻率测量为自旋超固态转变提供了输运探针。通过绝热去磁过程,ECA实现了低至106 mK的极低温冷却,展现出巨大的磁热效应,并在磁Grüneisen参数中表现为尖锐的异常。ECA作为首批金属自旋超固态材料之一,兼具低制冷温度、大磁熵和超高导热性,为高性能亚开尔文制冷提供了新平台。相关成果以“Giant magnetocaloric effect and spin supersolid in a metallic dipolar magnet”为题发表在Nature杂志上。

图1 具有局域磁矩和传导电子的金属自旋超固态;a. ECA的晶体结构及相应的堆叠三角晶格模型。b. 在ECA中,局域磁矩形成自旋超固态,作为磁制冷的熵库,而具有大费米面的传导电子则为热传导提供了高速通道。c. 熵贡献遵循不同的幂律。d. 金属热导率(颚化符运算符 大写 T ),其下降速度远慢于绝缘体系中的(颚化符运算符 大写 T 立方)。e. ECA与其他金属制冷剂的比较。

图2 ECA的热力学和电输运测量。

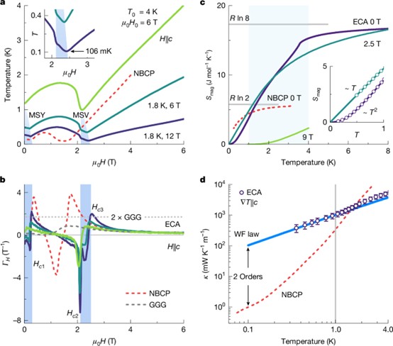
图3 ECA的磁热效应和热导率。a. 从不同初始温度大写 T 下标 0和初始磁场大写 H 下标 0 平行于 c 开始的ECA绝热去磁测量结果。adiabats线上的两个低谷,用阴影区域表示,分别对应于MSY和MSV相。红色虚线表示绝缘自旋超固态Na空白 停顿 下标 2 停顿 BaCo(PO空白 停顿 下标 4 停顿 )空白 停顿 下标 2 停顿 (NBCP)的绝热冷却线。插图显示ECA的最低冷却温度(106 mK)。b. 由a图中的adiabats导出的Grüneisen比率大写 gamma 下标 大写 H ,并与NBCP和GGG(改编自参考文献1,从2 K和4 T开始)的数据绘制在一起以直接比较。随着温度降低,大写 gamma 下标 大写 H 的峰-谷结构变得更加尖锐(趋于发散),并逐渐向量子临界点大写 H 下标 c 1、大写 H 下标 c 2和大写 H 下标 c 3移动。c. 在零场、2.5 T和9 T下的磁熵大写 S 下标 m a. g 。在高温下,ECA的熵值超过了NBCP。阴影区域表示与熵变相关的制冷能力。虚线箭头示意性地说明了在不同场下的绝热去磁过程。d. ECA沿c轴的热导率Kappa。红线表示根据电阻率数据使用Wiedemann-Franz定律计算的电子的热贡献Kappa 下标 e 。

图4 ECA的中子衍射结果。a, b. 在2 大写 K (a) 和0.3 大写 K (b) 时,观测到的(圆圈)靠近3.7 大写 A. ˚反射峰的磁衍射图案,以及不同自旋构型的相应拟合曲线(实线)。插图为共线有序(大写 U 除 2 设备控制 4 设备控制 4 大写 U 除 2 设备控制 4 大写 D 或 OUD)和Y态有序的示意图。这个3.7 大写 A. ˚的磁峰,指标为左圆括号 1 除 3,减 2 除 3,1 , 右圆括号 和左圆括号 1 除 3ⓜ , 1 除 3ⓜ,1 右圆括号 ,其Q方向接近[001],对于纯面内有序模型(绿线)表现出强强度,因此是探测面内自旋分量的灵敏探针。在2 大写 K 时,该峰能被共线态(卡其色线)更好地拟合,而不是面内自旋态(绿线)。然而,当冷却到0.3 大写 K 时,该峰的强度显著增加(b图)。这种增强只能用存在面内自旋分量(Y态,蓝线)来解释,而不能用纯共线态(卡其色线)来解释。误差棒表示1Sigma标准偏差。
【三】科学启示
该研究首次在金属体系中发现了自旋超固态,开辟了金属自旋超固态这一崭新研究领域。EuCo₂Al₉兼具大磁熵、超低制冷温度(106 mK)和高热导率,为亚开尔文制冷提供了突破性材料,有望替代稀缺的氦-3。其RKKY-偶极相互作用机制为设计新型量子材料提供了理论框架。此外,实验中观测到的传导电子增强的量子涨落效应,也为深入理解量子临界现象和自旋-电子耦合提供了重要启示,丰富了量子磁性物理的内涵。
论文详情:https://www.nature.com/articles/s41586-026-10144-z
本文由虚谷纳物供稿





