
本文Fracture behavior and strengthening mechanisms of grain boundaries in AlMg alloys,通过第一性原理与热力学计算相结合的方法,系统揭示了元素偏析、应力与温度对纳米晶界(GB)稳定性及裂纹行为的协同影响。
主要工作包括四个方面:热力学—结构耦合机制;应力促进偏聚与稳定化机制;电子与键合结构演化规律;热稳定性与裂纹抑制研究。中科院固体所助理研究员惠均为通讯作者(junhui@issp.ac.cn);刘状为第一作者。
研究发现:
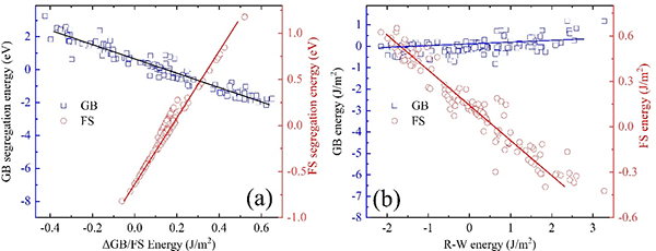
- 偏析能与界面能呈正线性相关:自由表面能(FS)是决定晶界强度的关键因素。适度偏析可显著降低界面能,从而提升结构稳定性。

图1 晶界及表面偏析
- 压应力促进偏析与稳定性提升:在外加载荷下,小半径元素更易进入晶界间隙,形成稳定的化学键,提高合金抗裂性能。

图2 界面能与晶界断裂趋势

图3 界面能、晶界断裂与应力相关性
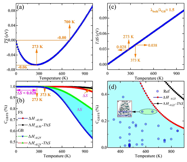
- 热力学调控机制揭示:通过结合爱因斯坦模型与Gibbs自由能分析,研究发现温度升高会降低元素在晶界的溶解度,但熵增效应(TΔS)可在一定范围内促进偏析稳定。

图4 晶界偏析热力学
- 配位与键长收缩的协同效应:在低配位(under-coordination)原子区域,原子键发生收缩,导致表面能降低,增强了晶界抗断裂能力。该机制解释了在高温高应力下材料自愈与稳态保持的微观来源。

图5 表面配位数与键收缩
- 电子结构与键合行为:局域态密度(LDOS)分析显示,应力会引起费米能级右移与电子极化,从而强化原子间成键能,提高整体韧性。

图6 界面偏析的态密度

图7 偏析-晶粒尺寸-硬度的相关性
研究揭示了在纳米级尺度上,如何通过调控元素偏析与应力分布实现晶界的强化与自愈。本文提出了一种“应力选择性促进/抑制偏析”的策略,为开发热稳定、高强度的轻质纳米合金提供了理论指导。





