一、导读
聚合物先驱体转化陶瓷(PDCs)是一类由有机聚合物经高温裂解制备的无机陶瓷材料。近年来,硼元素因其对PDCs微观结构与宏观性能的深刻影响,被誉为改变其命运的“魔法元素”。本文旨在系统探讨以下核心科学问题:硼元素在分子尺度上如何调控先驱体的交联结构与陶瓷化路径?其引入能否协同提升SiOC、SiCN等体系陶瓷的化学稳定性、力学性能以及功能特性?
在分子结构层面,研究发现,硼原子在分子骨架中既可作为“交联节点”,促进先驱体形成高度三维化的网络结构,又可作为“结构调节剂”,降低陶瓷化过程中的相分离与气体释放,使有机-无机转化过程更加均匀可控,从而实现从分子设计层面对陶瓷微结构与性能的精准调控。
在结构特性方面,研究表明,硼在高温下既可充当网络结构“稳定剂”,又能作为自由碳的“调控者”。通过与Si、N等元素形成强共价键抑制原子迁移与结构松弛;又能作为“结构调控因子”,促进非晶-晶化转变过程中的晶粒细化与界面强化,从而有效阻碍裂纹扩展并提高抗氧化能力。最终,使材料在极端热环境下依旧保持优异的力学性能与化学稳定性。
在功能特性方面,硼的引入不仅调控了碳的析出形态与石墨化程度,还改变了硅-氮-碳之间的成键结构与电子分布,从而优化了载流子输运路径与能带结构。此外,硼诱导的局域结构畸变与电子态重构,有助于提升界面极化与介电损耗效应,使材料在高温下仍能保持优异的电学与电磁性能,为其在高温热电转换与电磁防护等领域的应用奠定了坚实基础。
展望未来,硼是否将成为实现“可设计陶瓷”的关键?通过分子工程精准定制硼的化学微环境,或可实现从原子结构到宏观性能的定向构筑。此外,硼在PDCs体系中尚有哪些未知的潜力有待发掘?本文将深入解析“魔法元素”硼在PDCs中的关键作用,为相关材料的设计与应用提供理论依据与前瞻视角。
二、成果掠影
厦门大学材料学院余兆菊教授(通讯作者)、德国达姆施塔特工业大学(Technische Universität Darmstadt)Ralf Riedel教授和丁金雪博士,以及郑州大学李威博士(第一作者),应邀在Materials Today(影响因子 IF = 22.0)上发表了长篇综述论文,题为 “The Key Role of Boron As a ‘Magical Element’ in Polymer-Derived Boron-containing Ceramics”(DOI: 10.1016/j.mattod.2025.09.024)。
该文系统总结了硼这一“魔法元素”在聚合物先驱体转化陶瓷(PDC)中的关键科学作用,全面探讨了硼在先驱体分子设计与工程、聚合物向陶瓷转化机理、微结构演变、结构与化学稳定性调控,以及电学、热学、电磁学等功能性能优化中的深远影响。文章揭示了硼在提升陶瓷高温无定形稳定性、调控自由碳结构演变、改善热稳定性与多功能性能方面的独特机制,并对通过硼元素实现聚合物先驱体转化陶瓷结构–性能可设计化的未来发展方向进行了前瞻性展望。
三、核心创新点
(1)“魔法元素”硼的分子级调控机制:揭示硼在先驱体分子设计中的多维作用机制,通过Si-B、B-N、B-C键的动态构建与重排,实现聚合物链结构、交联密度及陶瓷化路径的可编程调控,奠定了分子工程化制备高性能陶瓷的理论基础。
(2)聚合物向陶瓷转化的协同效应模型:提出硼参与的“协同成瓷”机制,揭示其在促进碳相原位析出、抑制相分离及延迟无定形-晶化转变中的关键作用。
(3)结构-性能跨尺度关联的新范式:系统构建了硼含量、键合状态、微结构演变与宏观性能之间的多尺度耦合关系,揭示硼对陶瓷力学强度、抗蠕变性、热稳定性及电磁功能的协同调控规律。
(4)高温多功能一体化陶瓷的材料新体系:阐明硼掺杂赋予聚合物先驱体转化陶瓷优异的导电、热电、抗氧化和电磁屏蔽特性,建立了基于硼调控实现“结构-功能一体化”高温陶瓷材料的设计理念。
(5)面向可设计陶瓷的科学框架:提出以硼为核心元素的“化学-结构-性能”三元耦合设计策略,为实现聚合物先驱体转化陶瓷的精准构筑与可预测性能调控提供了系统化理论支撑与工程化路径。
三、数据概览

图1 (a)硅基先驱体分子结构示意图;(b)聚合物先驱体转化陶瓷(PDC)研究发展的时间线和(c)发文量。

图2 聚合物合成、加工、聚合物向陶瓷的转化、结构特征及制备陶瓷的应用示意图。

图3 (a)HN1B、HN3B和HN4B先驱体的分子结构;(b)HN1B和(c)HN4B的11B 魔角旋转核磁共振谱图;(d)AHPCS对B4C颗粒进行表面的官能化;(e)硼嗪改性氢聚硅氮烷的反应路径。

图4 (a)DCMVS与BDMS分子合成路线和(b)Durazane 1800聚合物与BDMS及四(二乙氨基)铪聚合物合成路线。

图5 (a)聚硅氮烷与二甲基硫醚硼烷的热重(TG)曲线;(b)不同温度下热处理的硼改性聚硅氮烷的FTIR光谱;(c)硼改性聚硅氮烷的NMR谱图;(d)SiBCN相分离示意图;(e)BCN三元相图;(f)在SiBCN陶瓷XPS图谱;(g)SiBCN陶瓷显微结构示意图。

图6 (a)不同氮/硼组成SiBCN陶瓷的键合统计分布;(b)SiBC陶瓷分子结构示意图;(c)和(d)SiBCN陶瓷非晶结构;(e)SiBCN陶瓷结晶演化示意图。

图7 (a)SiBN纤维;(b)不同硼含量陶瓷纤维的抗拉强度与退火温度的关系;(c)SiBCN陶瓷的杨氏模量随温度变化关系;(d)SiBCN陶瓷的原子构型;(e)陶瓷断裂结构示意图。

图8 (a)SiBCN陶瓷与SiCN、熔融石英及多晶Si3N4的粘度(b)非晶与纳米晶SiBCN陶瓷的压缩蠕变随时间变化关系;(c)SiBCN陶瓷的压缩蠕变行为;(d)基于自由体积模型及(e)“两步”弛豫模型的SiBCN陶瓷粘度的温度关系。

图9 (a)BN陶瓷的线膨胀系数;(b)超快升温炉装置示意图;(c)SiCN涂层;(d)SiBCN涂层;(e)Si(HfTa)BCN涂层10次热震后SEM图像;(f-h)SiC/BN复合材料热震抗性的实验装置(i)100次热震循环后的储能模量与损耗。

图10 (a)SiBN纤维氧化层显微结构模型;(b)SiBN纤维氧化过程的示意图;(c)贫硼、(d)中等硼含量及(e)富硼单相SiBCN氧化层厚度(上)及其厚度平方(下)随氧化时间的变化关系。

图11 (a)水蒸气环境下处理的SiBCN纤维TEM图像;(b–d)分别对应(a)中标记B、C、D区域的HRTEM图像;(e–g)分别为(b–d)中红色矩形区域的HRTEM放大图;(h)分别对应(a)中标记为EDS-I、II、III、IV区域的EDS图(I)、(II)、(III)和(IV);(i)SiBCN纤维微观结构示意图;(j)和(k)分别示意SiBCN纤维在空气(j)和水蒸气(k)环境下的腐蚀机制;(l)乙炔氧焰烧蚀实验示意图;(m)烧蚀实验中样品的光学图像;(n)所制HfB2/SiC复合材料的密度/表面温度/线烧蚀率与已报道超高温陶瓷及高熔融复合材料数据的对比。

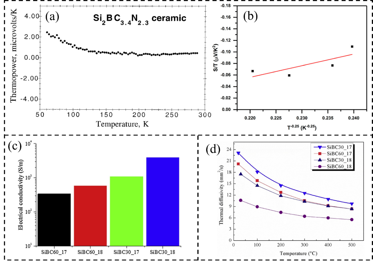
图12 (a)SiBCN陶瓷的热电势;(b)SiOC/1 wt% h-BN的Seebeck系数;(c)SiBC样品的电导率;(d)SiBC样品的热扩散。

图13 (a)和(b)SiBCN陶瓷负极在30个循环中的放电容量变化;(c)SiBCN基锂离子电池半电池结构示意图;(d, e)SiCN及(f, g)Si(B)CN样品的电化学嵌锂/脱锂的首循环与第二循环及对应的dQ/dV曲线;(h)不同催化剂的极化曲线;(i)不同催化剂的Tafel斜率。

图14 (a)SiBCN陶瓷透波机制示意图;(b)SiBCN陶瓷透波性能;(c)BCN聚合物先驱体的合成流程;(d, e)合成BCN的化学结构特征;(f)轻质BCN块体陶瓷光学照片;(g)BCN块体材料的接触角;(h)BCN陶瓷DOS;(i)BCN陶瓷电磁波耗散机制示意图;(j)和(k)BCN陶瓷吸波图。

图15 (a)测试系统的加热与冷却速率;(b)SiBCN陶瓷在不同加热/冷却循环下的电阻率-温度曲线;(c)SiBCN陶瓷在空气中100次热-冷循环电阻率变化;(d)SiBCN压力传感器的加载-卸载循环;(e)SiBCN压力传感器50次加载-卸载循环的可重复性评估;(f)聚合物先驱体转化SiBCN陶瓷压力传感器的结构设计与组装示意图。
四、原文详情
The key role of boron as a ‘Magical Element’ in polymer-derived boron-containing ceramics (Materials Today 2025, DOI: https://doi.org/10.1016/j.mattod.2025.09.024)
五、作者简介
李威,博士,郑州大学,以第一和通讯作者在Journal of Advanced Ceramics、Journal of the European Ceramic Society等陶瓷类或材料类国际权威期刊上发表论文16篇。
丁金雪,博士,郑州大学,以第一和通讯作者在Journal of Advanced Ceramics、Acta Materialia等陶瓷类或材料类国际权威期刊上发表论文8篇。
余兆菊,厦门大学材料学院教授、博士生导师,世界陶瓷科学院院士,德国“洪堡学者”,中国国投研究院兼职科学家,中国硅酸盐学会特种陶瓷分会第十届理事会副秘书长,入选福建省级高层次人才,获得美国陶瓷学会工程陶瓷部“Jubilee Global Diversity Award”奖和美国陶瓷学会“ACerS Global Ambassador”奖,入选全球前2%顶尖科学家榜单。目前,担任《Ceramics International》、《Journal of the American Ceramic Society》、《International Journal of Applied Ceramic Technology》和《npj Advanced Manufacturing》副主编,并担任《Journal of Advanced Ceramics》、《Advanced Powder Materials》和《Materials》编委。曾担任欧洲陶瓷会志《Journal of the European Ceramic Society》首席客座主编(Guest Editor in Chief),陶瓷领域重要国际会议的国际顾问委员会委员、组委会成员。以第一/通讯作者在Nature Materials、Progress in Materials Science、Acta Materialia、Nanoscale、J Mater Chem C等国际期刊上已经发表SCI论文120余篇, 在国际会议上作分会邀请报告40多次。主要研究方向包括:1)单源聚合物先驱体法制备结构/功能一体化陶瓷;2)低维纳米功能材料(电、磁、催化等);3)有机硅功能高分子材料。
Ralf Riedel,博士,德国达姆施塔特工业大学材料科学研究所教授,世界陶瓷科学院院士,美国陶瓷协会会士,欧洲陶瓷协会会士,日本东京大学工学会士暨客座教授,陕西省外专千人暨西北工业大学讲座教授,厦门大学客座教授,天津大学荣誉教授,郑州大学荣誉教授等。陶瓷领域国际权威期刊《Journal of The American Ceramic Society》和《Ceramic International》主编。研究领域:(1)分子法合成先进结构和功能陶瓷及其在超高温以及能源领域的应用;(2)超高温/高压材料合成。





